Blog
Eksperimen Sains Tingkatan 5 Mikroorganisma
siti bilang cuti lirik
sistem dan struktur pentadbiran negara pdf
solat sunat sebelum solat jumaat
siakap masak 3 rasa mudah
sewa kereta untuk uber
si baju kurung kasut kanvas
sistem pengurusan stor kkm
simbol papan tanda jalan raya di malaysia
Skema Up1 T5
M 9 Tc
M 9 Tc
Soalan Sains Topikal Spm Bab 1 Tingkatan 5 Pages 1 31 Text Version Anyflip
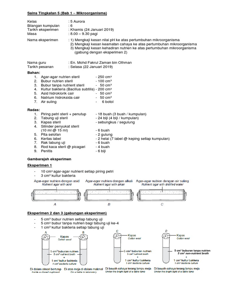
Order Eksperimen Ting 5 Aurora Mikrob
M 9 Tc
F5 Kesan Suhu Terhadap Pertumbuhan Mikroorganisma
Rpt 2013 Sains Ting 5 By Az Weena Issuu
Doc Pk1 Sains Tingkatan 5 Adawiah Sulaiman Academia Edu
Rpt Sains Tingkatan 5 Bm 2020 Pages 1 19 Flip Pdf Download Fliphtml5
Soalan Sains Topikal Spm Bab 1 Tingkatan 5 Pages 1 31 Text Version Anyflip
M 9 Tc
Rph Sains
M 9 Tc
Tingkatan 5 1 9 2a Faktor Faktor Yang Mempengaruhi Pertumbuhan Mikroorganisma Soalan Subjektif Sains Spm
Contoh Soalan Mikroorganisma Basic Production Process Studocu
Oleh2 Form 5
5p2m Formatif1 Mikroorganisma By Bhn Sintetik Issuu
Modul Ulas Bab 1 F5 Complete Pages 1 36 Text Version Anyflip
Tingkatan 5 1 9 3 Mikroorganisma Yang Berfaedah Soalan Subjektif Sains Spm
Source :
pinterest.com
Random Posts
Internship Cover Letter Example Malaysia
Jabatan Akauntan Negara Sarawak E Penyata Gaji
Jambatan Sultan Abdul Halim Muadzam Shah
Jabatan Bekalan Air Luar Bandar Sarawak
Is Malaysia A Developed Country Quora
Jabatan Tanah Dan Ukur Kota Kinabalu
Jambatan Sultan Abdul Halim
Jabatan Hasil Dalam Negeri Kelantan
Jadwal Siaran Tv Sctv Hari Ini
Jade Hills Rumah Selangorku Jenis D
Isma Sane Derita Mp3 Download
Interior Rumah Dato Aliff Syukri
Jadual Eat Clean Menu Diet Seminggu
Isu Riba Di Malaysia
Jabatan Hasil Dalam Negeri
Jabatan Tanah Dan Ukur Kota Kinabalu Sabah
Isu Pekerja Asing Di Malaysia
Isi Kepentingan Perpaduan Kaum
Jambatan Sultan Abdul Halim Penang
Italy Time To Malaysia Time